Project

Semi-Markov process-driven maintenance scheduling for Tainter gate system considering multiplelimit states

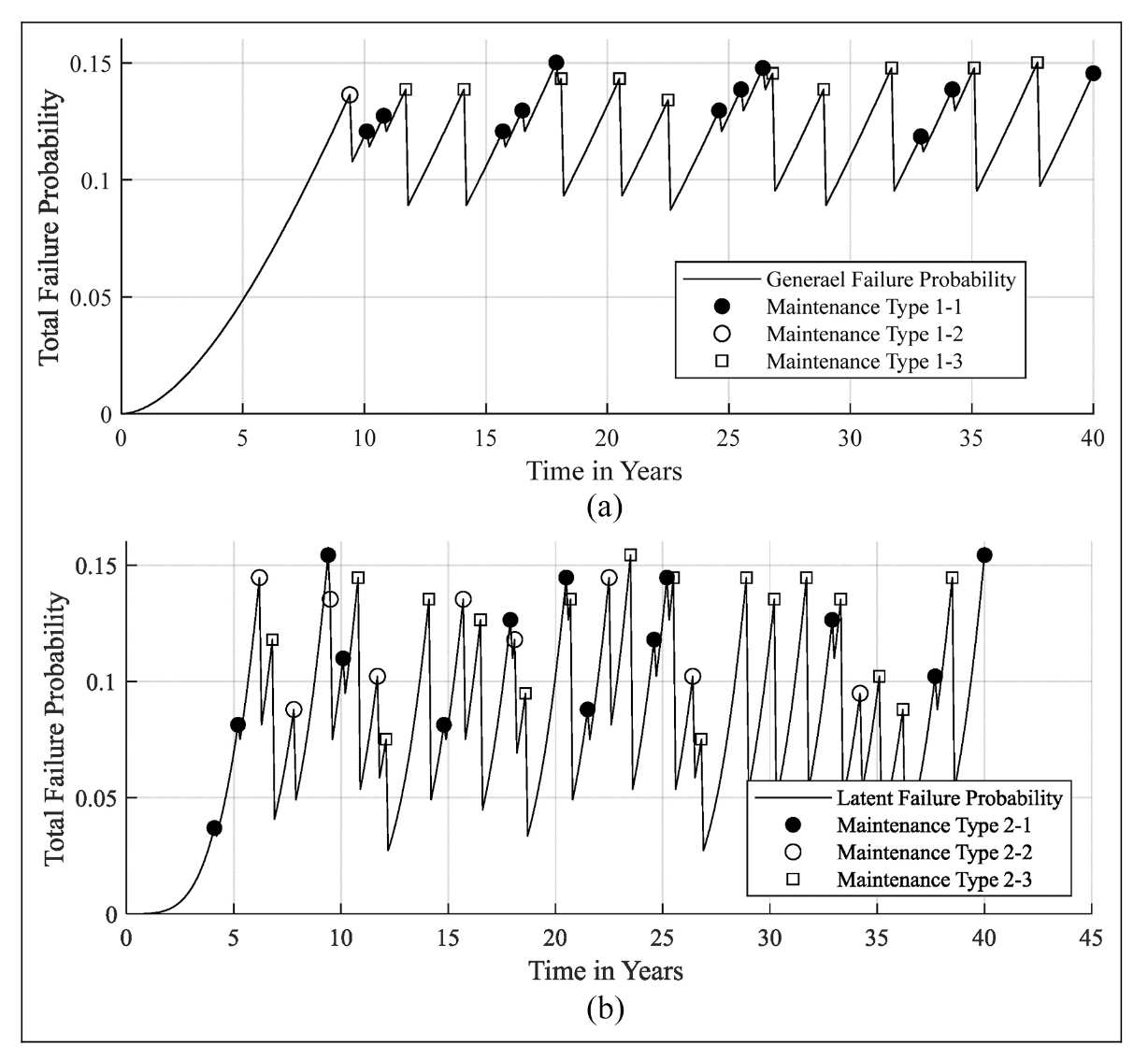
Scheduling gate maintenance based on Semi-Markov process.

Deep P-Spline Theory, Fast Tuning, and Application

Integrating spline expansion with deep neuron networks (DNNs).